Previous photo Next photo View full size image
BSCHelipadApp2007_21ExhibI4 BSCHelipadApp2007_22ExhibI5 BSCHelipadApp2007_23ExhibI6 BSCHelipadApp2007_24ExhibI7 BSCHelipadApp2007_25ExhibJ BSCHelipadApp2007_26ExhibK1 BSCHelipadApp2007_27ExhibK2 BSCHelipadApp2007_28ExhibK3 BSCHelipadApp2007_29ExhibK4 BSCHelipadApp2007_30ExhibK5
First page Previous page Index page Next page Last page



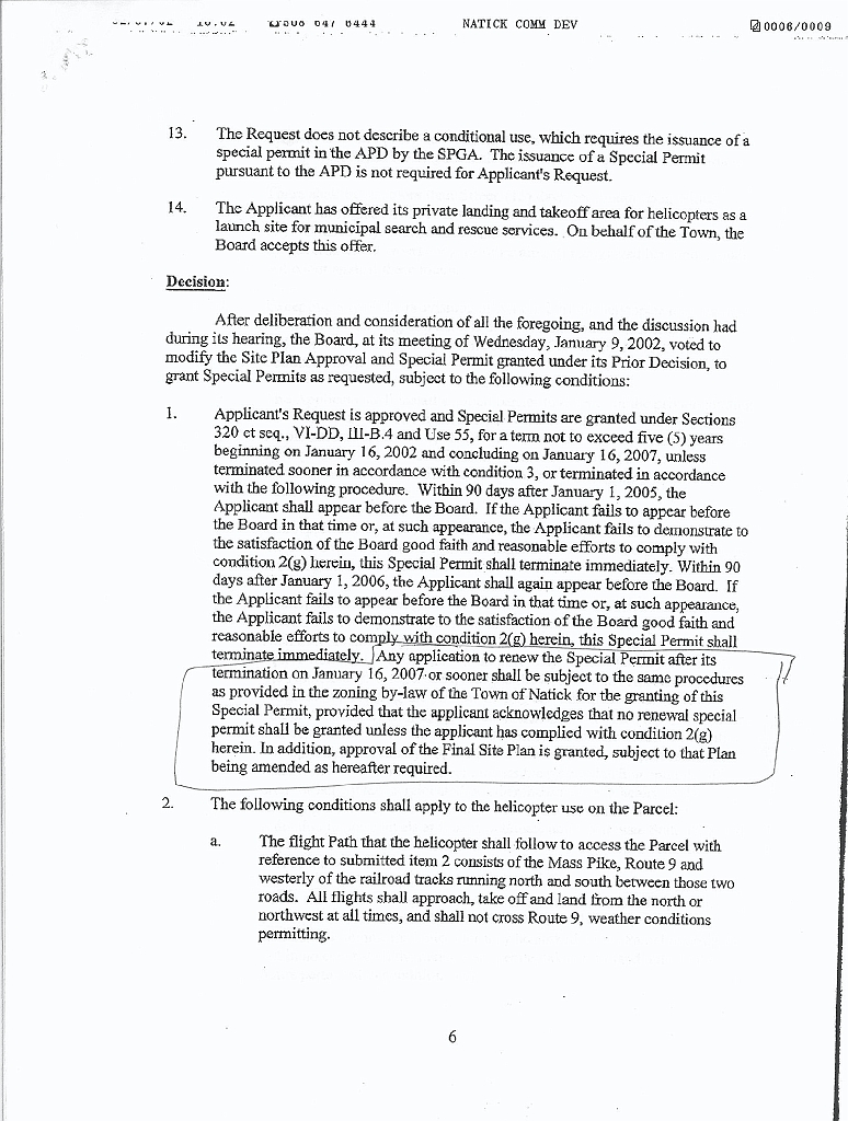
Exhibit K - Modification Decision dated February 2002
Download original image (0.51 MB) Click to show/hide keyboard shortcut help
Keyboard shortcuts are active:

RIGHT arrow - next page
LEFT arrow - previous page
Page Up - index page
HOME - first page
END - last page
ESC,S,s - toggle start/stop slide show
Page down,Z,z - Zoom in/out
ExhibitPlus BSCHelipadApp2007_27ExhibK2 Exhibit K - Modification Decision dated February 2002